
1201 抗生素微生物检定法
本法系在适宜条件下,根据量反应平行线原理设计,通过检测抗生素对微生物的抑制作用,计算抗生素活性(效价)的方法。
抗生素微生物检定包括两种方法,即管碟法和浊度法。
测定结果经计算所得的效价,如低于估计效价的90%或高于估计效价的110%时,应调整其估计效价,重新试验。
除另有规定外,本法的可信限率不得大于5%。
第一法 管碟法
本法系利用抗生素在琼脂培养基内的扩散作用,比较标准品与供试品两者对接种的试验菌产生抑菌圈的大小,以测定供试品效价的一种方法。
菌悬液的制备
枯草芽孢杆菌(Bacillus subtilis)悬液 取枯草芽孢杆菌〔CMCC(B)63 501〕的营养琼脂斜面培养物,接种于盛有营养琼脂培养基的培养瓶中,在35~37℃培养7日,用革兰染色法涂片镜检,应有芽孢85%以上。用灭菌水将芽孢洗下,在65℃加热30分钟,备用。
短小芽孢杆菌(Bacillus pumilus)悬液 取短小芽孢杆菌〔CMCC(B)63 202〕的营养琼脂斜面培养物,照上述方法制备。
金黄色葡萄球菌(Staphylococcus aureus)悬液 取金黄色葡萄球菌〔CMCC(B)26 003〕或〔ATCC29 213〕的营养琼脂斜面培养物,接种于营养琼脂斜面上,在35~37℃培养20~22小时。临用时,用灭菌水或0.9%灭菌氯化钠溶液将菌苔洗下,备用。
藤黄微球菌(Micrococcus luteus)悬液 取藤黄微球菌〔CMCC(B)28 001〕的营养琼脂斜面培养物,接种于盛有营养琼脂培养基的培养瓶中,在26~27℃培养24小时,或采用适当方法制备的菌斜面,用培养基Ⅲ或0.9%灭菌氯化钠溶液将菌苔洗下,备用。
大肠埃希菌(Escherichia coli)悬液 取大肠埃希菌〔CMCC(B)44 103〕的营养琼脂斜面培养物,接种于营养琼脂斜面上,在35~37℃培养20~22小时。临用时,用灭菌水将菌苔洗下,备用。
啤酒酵母菌(Saccharomyces cerevisiae)悬液 取啤酒酵母菌〔ATCC 9763〕的Ⅴ号培养基琼脂斜面培养物,接种于Ⅳ号培养基琼脂斜面上。在32~35℃培养24小时,用灭菌水将菌苔洗下置含有灭菌玻璃珠的试管中,振摇均匀,备用。
肺炎克雷伯菌(Klebsiella pneumoniae)悬液 取肺炎克雷伯菌〔CMCC(B)46 117〕的营养琼脂斜面培养物,接种于营养琼脂斜面上,在35~37℃培养20~22小时。临用时,用无菌水将菌苔洗下,备用。
支气管炎博德特菌(Bordetella bronchiseptica)悬液 取支气管炎博德特菌〔CMCC(B)58 403〕的营养琼脂斜面培养物,接种于营养琼脂斜面上,在32~35℃培养24小时。临用时,用无菌水将菌苔洗下,备用。
标准品溶液的制备 标准品的使用和保存,应照标准品说明书的规定。临用时照表1的规定进行稀释。
标准品的品种、分子式及理论计算值见表2。
供试品溶液的制备 精密称(或量)取供试品适量,用各品种项下规定的溶剂溶解后,再按估计效价或标示量照表1的规定稀释至与标准品相当的浓度。
双碟的制备 取直径约90mm,高16~17mm的平底双碟,分别注入加热融化的培养基(表1)20ml,使在碟底内均匀摊布,放置水平台面上使凝固,作为底层。另取培养基适量加热融化后,放冷至48~50℃(芽孢可至60℃),加入规定的试验菌悬液适量(能得清晰的抑菌圈为度。二剂量法标准品溶液的高浓度所致的抑菌圈直径在18~22mm,三剂量法标准品溶液的中心浓度所致的抑菌圈直径在15~18mm),摇匀,在每1双碟中分别加入5ml,使在底层上均匀摊布,作为菌层。放置在水平台上冷却后,在每1双碟中以等距离均匀安置不锈钢小管(内径为6.0mm±0.1mm,高为10.0mm±0.1mm,外径为7.8mm±0.1mm)4个(二剂量法)或6个(三剂量法),用陶瓦圆盖覆盖备用。
检定法
二剂量法 取照上述方法制备的双碟不得少于4个,在每1双碟中对角的2个不锈钢小管中分别滴装高浓度及低浓度的标准品溶液,其余2个小管中分别滴装相应的高低两种浓度的供试品溶液;高、低浓度的剂距为2∶1或4∶1。在规定条件下培养后,测量各个抑菌圈直径(或面积),照生物检定统计法(通则1431)中的(2.2)法进行可靠性测验及效价计算。
三剂量法 取照上述方法制备的双碟不得少于6个,在每1双碟中间隔的3个不锈钢小管中分别滴装高浓度(S3)、中浓度(S2)及低浓度(S1)的标准品溶液,其余3个小管中分别滴装相应的高、中、低三种浓度的供试品溶液;高、低浓度的剂距为1∶0.8。在规定条件下培养后,测量各个抑菌圈直径(或面积),照生物检定统计法(通则1431)中的(3.3)法进行可靠性测验及效价计算。
表1 抗生素微生物检定试验设计表

注:①两性霉素B双碟的制备,用菌层15ml代替两层。
②乙酰螺旋霉素,抗Ⅱ检定培养基制备时,调节pH值使灭菌后为8.0~8.2。
③含3%氯化钠。
④加0.3%葡萄糖。
第二法 浊度法
本法系利用抗生素在液体培养基中对试验菌生长的抑制作用,通过测定培养后细菌浊度值的大小,比较标准品与供试品对试验菌生长抑制的程度,以测定供试品效价的一种方法。
菌悬液制备
金黄色葡萄球菌(Staphylococcus aureus)悬液 取金黄色葡萄球菌〔CMCC(B)26 003〕的营养琼脂斜面培养物,接种于营养琼脂斜面上,在35~37℃培养20~22小时。临用时,用灭菌水或0.9%灭菌氯化钠溶液将菌苔洗下,备用。
大肠埃希菌(Escherichia coli)悬液 取大肠埃希菌〔CMCC(B)44 103〕的营养琼脂斜面培养物,接种于营养琼脂斜面上,在35~37℃培养20~22小时。临用时,用灭菌水将菌苔洗下,备用。
白色念珠菌(Candida albicans)悬液 取白色念珠菌〔CMCC(F)98 001〕的改良马丁琼脂斜面的新鲜培养物,接种于10ml培养基Ⅸ中,置35~37℃培养8小时,再用培养基Ⅸ稀释至适宜浓度,备用。
标准品溶液的制备 标准品的使用和保存,应照标准品说明书的规定。临用时照表3的规定进行稀释。
标准品的品种、分子式及理论计算值见表2。
表2 抗生素标准品品种与理论值

供试品溶液的制备 精密称(或量)取供试品适量,照各品种项下规定进行供试品溶液的配制。
表3 抗生素微生物检定浊度法试验设计表

续表

含试验菌液体培养基的制备 临用前,取规定的试验菌悬液适量(35~37℃培养3~4小时后测定的吸光度在0.3~0.7之间,且剂距为2的相邻剂量间的吸光度差值不小于0.1),加入到各规定的液体培养基中,混合,使在试验条件下能得到满意的剂量-反应关系和适宜的测定浊度。
已接种试验菌的液体培养基应立即使用。
检定法
标准曲线法 除另有规定外,取适宜的大小厚度均匀的已灭菌试管,在各品种项下规定的剂量-反应线性范围内,以线性浓度范围的中间值作为中间浓度,标准品溶液选择5个剂量,剂量间的比例应适宜(通常为1∶1.25或更小),供试品根据估计效价或标示量溶液选择中间剂量,每一剂量不少于3个试管。在各试验管内精密加入含试验菌的液体培养基9.0ml,再分别精密加入各浓度的标准品或供试品溶液各1.0ml,立即混匀,按随机区组分配将各管在规定条件下培养至适宜测量的浊度值(通常约为4小时),在线测定或取出立即加入甲醛溶液(1→3)0.5ml以终止微生物生长,在530nm或580nm波长处测定各管的吸光度。同时另取2支试管各加入药品稀释剂1.0ml,再分别加入含试验菌的液体培养基9.0ml,其中一支试管与上述各管同法操作作为细菌生长情况的阳性对照,另一支试管立即加入甲醛溶液0.5ml,混匀,作为吸光度测定的空白液。照标准曲线法进行可靠性检验和效价计算。
抗生素微生物检定法标准曲线法的计算及统计学检验
标准曲线法的计算及可靠性检验
1 标准曲线的计算
将标准品的各浓度lg值及相对应的吸光度列成表4。
表4 抗生素标准品浓度lg值与吸光度表

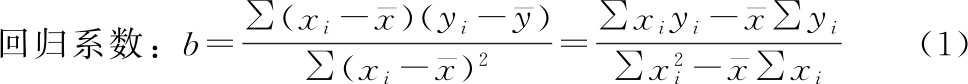
按公式(1)和(2)分别计算标准曲线的直线回归系数(即斜率)b和截距a,从而得到相应标准曲线的直线回归方程(3):

截距:

直线回归方程:

2 回归系数的显著性测验
判断回归得到的方程是否成立,即X、Y是否存在着回归关系,可采用t检验。
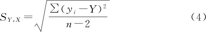
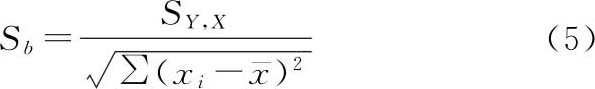
假设H0:b=0,在假设H0成立的条件下,按公式(4)~(6)计算t值。
估计标准差:

回归系数标准误:


式中 yi为标准品的实际吸光度;
Y为估计吸光度〔由标准曲线的直线回归方程(3)计算得到〕;
为标准品实际吸光度的均值;
xi为抗生素标准品实际浓度lg值;
为抗生素标准品实际浓度lg值的均值。
对于相应自由度(2n-4)给定的显著性水平α(通常α=0.05),查表得tα/2(n-2),若|t|>tα/2(n-2),则拒绝H0,认为回归效果显著,即X、Y具有直线回归关系;若|t|≤tα/2(n-2),则接受H0,认为回归效果不显著,即X、Y不具有直线回归关系。
3 测定结果的计算及可信限率估计
3.1 抗生素浓度lg值的计算 当回归系数具有显著意义时,测得供试品吸光度的均值后,根据标准曲线的直线回归方程(3),按方程(7)计算抗生素的浓度lg值。
抗生素的浓度lg值:

3.2 抗生素浓度(或数学转换值)可信限的计算 按公式(4)和(8)计算得到的抗生素浓度lg值在95%置信水平(α=0.05)的可信限。
X0的可信限:

式中 n为标准品的浓度数乘以平行测定数;
m为供试品的平行测定数;
X0为根据线性方程计算得到的抗生素的浓度lg值;
Y0为抗生素供试品吸光度的均值。
3.3 可信限率的计算 按公式(9)计算得到的抗生素浓度(或数学转换值)的可信限率。

式中 X0应以浓度为单位。
其可信限率除另有规定外,应不大于5%。
3.4 供试品含量的计算 将计算得到的抗生素浓度(将lg值转换为浓度)再乘以供试品的稀释度,即得供试品中抗生素的量。
二剂量法或三剂量法 除另有规定外,取大小一致的已灭菌的试管,在各品种项下规定的剂量反应线性范围内,选择适宜的高、(中、)低浓度,分别精密加入各浓度的标准品和供试品溶液各1.0ml,二剂量的剂距为2∶1或4∶1,三剂量的剂距为1∶0.8。同标准曲线法操作,每一浓度组不少于4个试管,按随机区组分配将各试管在规定条件下培养。照生物检定统计法(通则1431)中的(2.2)法和(3.3)法进行可靠性测验及效价计算。
培养基及其制备方法
培养基Ⅰ

除琼脂外,混合上述成分,调节pH值使比最终的pH值略高0.2~0.4,加入琼脂,加热溶化后滤过,调节pH值使灭菌后为7.8~8.0或6.5~6.6,在115℃灭菌30分钟。
培养基Ⅱ

除琼脂和葡萄糖外,混合上述成分,调节pH值使比最终的pH值略高0.2~0.4,加入琼脂,加热溶化后滤过,加葡萄糖溶解后,摇匀,调节pH值使灭菌后为7.8~8.0或6.5~6.6,在115℃灭菌30分钟。
培养基Ⅲ

除葡萄糖外,混合上述成分,加热溶化后滤过,加葡萄糖溶解后,摇匀,调节pH值使灭菌后为7.0~7.2,在115℃灭菌30分钟。
培养基Ⅳ

除琼脂和葡萄糖外,混合上述成分,调节pH值使比最终的pH值略高0.2~0.4,加入琼脂,在109℃加热15分钟,于70℃以上保温静置1小时后滤过,加葡萄糖溶解后,摇匀,调节pH值使灭菌后为6.0~6.2,在115℃灭菌30分钟。
培养基Ⅴ

除琼脂和麦芽糖外,混合上述成分,调节pH值使比最终的pH值略高0.2~0.4,加入琼脂,加热溶化后滤过,加麦芽糖溶解后,摇匀,调节pH值使灭菌后为6.0~6.2,在115℃灭菌30分钟。
培养基Ⅵ

除琼脂和葡萄糖外,混合上述成分,调节pH值使比最终的pH值略高0.2~0.4,加入琼脂,加热溶化后滤过,加葡萄糖溶解后,摇匀,调节pH值使灭菌后为7.2~7.4,在115℃灭菌30分钟。
培养基Ⅶ

除琼脂外,混合上述成分,调节pH值使比最终的pH值略高0.2~0.4,加入琼脂,加热溶化后滤过,调节pH值使灭菌后为6.5~6.6,在115℃灭菌30分钟。
培养基Ⅷ

混合上述成分,加热溶化后滤过,调节pH值使灭菌后为6.5~6.6,在115℃灭菌30分钟。
培养基Ⅸ

除葡萄糖外,混合上述成分,加热溶化后滤过,加葡萄糖溶解后,摇匀,调节pH值使灭菌后为6.5,在115℃灭菌30分钟。
营养肉汤培养基

❶肉浸液也可用牛肉浸出粉3g,加水1000ml,配成溶液代替。
取胨和氯化钠加入肉浸液内,微温溶解后,调节pH值为弱碱性,煮沸,滤清,调节pH值使灭菌后为7.2±0.2,在115℃灭菌30分钟。
营养琼脂培养基

❶肉浸液也可用牛肉浸出粉3g,加水1000ml配成溶液代替。
除琼脂外,混合上述成分,调节pH值使比最终的pH值略高0.2~0.4,加入琼脂,加热溶化后滤过,调节pH值使灭菌后为7.0~7.2,分装,在115℃灭菌30分钟,趁热斜放使凝固成斜面。
改良马丁培养基

除葡萄糖外,混合上述成分,微温溶解,调节pH值约为6.8,煮沸,加入葡萄糖溶解后,摇匀,滤清,调节pH值使灭菌后为6.4±0.2,分装,在115℃灭菌30分钟,趁热斜放使凝固成斜面。
多黏菌素B用培养基

除琼脂外,混合上述成分,调节pH值使比最终的pH值略高0.2~0.4,加入琼脂,加热溶化后滤过,调节pH值使灭菌后为6.5~6.7,在115℃灭菌30分钟。
培养基可以采用相同成分的干燥培养基代替,临用时,照使用说明配制和灭菌,备用。
灭菌缓冲液
磷酸盐缓冲液(pH 5.6) 取磷酸二氢钾9.07g,加水使成1000ml,用1mol/L氢氧化钠溶液调节pH值至5.6,滤过,在115℃灭菌30分钟。
磷酸盐缓冲液(pH 6.0) 取磷酸氢二钾2g与磷酸二氢钾8g,加水使成1000ml,滤过,在115℃灭菌30分钟。
磷酸盐缓冲液(pH 7.0) 取磷酸氢二钾9.39g与磷酸二氢钾3.5g,加水使成1000ml,滤过,在115℃灭菌30分钟。
磷酸盐缓冲液(pH 7.8) 取磷酸氢二钾5.59g与磷酸二氢钾0.41g,加水使成1000ml,滤过,在115℃灭菌30分钟。
磷酸盐缓冲液(pH 10.5) 取磷酸氢二钾35g,加10mol/L氢氧化钠溶液2ml,加水使成1000ml,滤过,在115℃灭菌30分钟。
(c)蒲标网 - 中国药典、药品标准、法规在线查询 ( 津ICP备15007510号 )