
二甲磺酸阿米三嗪
Erjiahuangsuan Amisanqin
Almitrine Mesylate

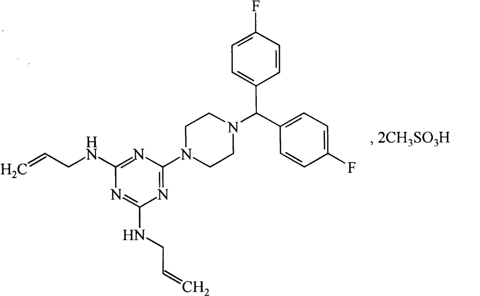
C26H29F2N7•2CH3SO3H 669.76
[29608-49-9]
本品为2,4-双(烯丙氨基)-6-[4-双-(对氟苯基)甲基]-1-哌嗪基-S-三嗪二甲磺酸盐。按干燥品计算,含C26H29F2N7•2CH3SO3H应为98.0%~102.0%。
【性状】 本品为白色或类白色结晶性粉末;无臭。
本品在甲醇中易溶,在乙醇中溶解,在丙酮中微溶,在水中不溶。
【鉴别】 (1)取本品,加乙醇制成每1ml中含8μg的溶液,照紫外-可见分光光度法(通则0401)测定,在223nm的波长处有最大吸收。
(2)本品的红外光吸收图谱应与对照的图谱(光谱集900图)一致。
【检查】酸度 取本品0.50g,加水50ml,振摇10分钟,滤过,取续滤液,依法测定(通则0631),pH值应为2.0~3.5。
含氟量 取本品约35mg,精密称定,照氟检查法(通则0805)测定,含氟量应为5.1%~6.3%。
有关物质 照高效液相色谱法(通则0512)测定。
供试品溶液 取本品约30mg,置100ml量瓶中,加流动相溶解并稀释至刻度,摇匀。
对照溶液 精密量取供试品溶液1ml,置100ml量瓶中,用流动相稀释至刻度,摇匀。
色谱条件 用十八烷基硅烷键合硅胶为填充剂;以甲醇-水(85∶15)(每1000ml中加二乙胺5μl)为流动相;检测波长为222nm;进样体积20μl。
系统适用性要求 理论板数按阿米三嗪峰计算不低于900。
测定法 精密量取供试品溶液与对照溶液,分别注入液相色谱仪,记录色谱图至主成分峰保留时间的2倍。
限度 供试品溶液色谱图中如有杂质峰,单个杂质峰面积不得大于对照溶液主峰面积的0.5倍(0.5%),各杂质峰面积的和不得大于对照溶液主峰面积的1.5倍(1.5%)。
残留溶剂 照残留溶剂(通则0861)测定。
供试品溶液 取本品,精密称定,加二甲基亚砜使溶解并定量稀释制成每1ml中约含20mg的溶液。
限度 甲苯的残留量应符合规定。
氯化物 取本品0.50g,加乙醇25ml使溶解,除用乙醇稀释外,依法检查(通则0801),与标准氯化钠溶液5.0ml制成的对照液比较,不得更浓(0.01%)。
硫酸盐 取本品0.50g,加水50ml,缓缓煮沸2分钟,放冷,补加水至原体积,摇匀,滤过,取续滤液40ml,依法检查(通则0802),与标准硫酸钾溶液2.0ml制成的对照液比较,不得更浓(0.05%)。
干燥失重 取本品,在105℃干燥至恒重,减失重量不得过0.5%(通则0831)。
炽灼残渣 取本品1.0g,依法检查(通则0841),遗留残渣不得过0.15%。
重金属 取炽灼残渣项下遗留的残渣,依法检查(通则0821第二法),含重金属不得过百万分之二十。
【含量测定】 照高效液相色谱法(通则0512)测定。
供试品溶液 取本品适量,精密称定,加流动相溶解并定量稀释制成每1ml中约含0.12mg的溶液。
对照品溶液 取二甲磺酸阿米三嗪对照品适量,精密称定,加流动相溶解并定量稀释制成每1ml中约含0.12mg的溶液。
色谱条件与系统适用性要求 见有关物质项下。
测定法 精密量取供试品溶液与对照品溶液,分别注入液相色谱仪,记录色谱图。按外标法以峰面积计算。
【类别】 中枢兴奋药。
【贮藏】 遮光,密封保存。
(c)蒲标网 - 中国药典、药品标准、法规在线查询 ( 津ICP备15007510号 )