
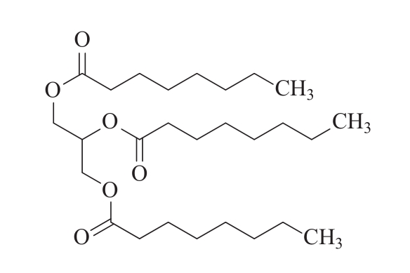
三辛酸甘油酯
Sanxinsuan Ganyouzhi
Glyceryl Tricaprylate

C27H50O6 470.69
[538-23-8]
本品为以三辛酸甘油酯为主的饱和脂肪酸三甘油酯。含C27H50O6不得少于90.0%。
【性状】本品为无色至淡黄色的澄清液体。
酸值 本品的酸值(通则0713)应不大于0.2。
羟值 本品的羟值(通则0713)应不大于10.0。
过氧化值 本品的过氧化值(通则0713)应不大于1。
皂化值 本品的皂化值(通则0713)应为340~370。
【鉴别】在含量测定项下记录的色谱图中,供试品溶液主峰的保留时间应与对照品溶液主峰的保留时间一致。
【检查】游离甘油 取含量测定项下的供试品溶液作为供试品溶液。
另取甘油对照品适量,精密称定,加四氢呋喃溶解并定量稀释制成每1ml中约含0.25mg的溶液,作为对照品溶液。
照分子排阻色谱法(通则0514)测定,用苯乙烯-二乙烯基苯共聚物为填充剂(7.8mm×300mm, 5.0μm的两根色谱柱串联或效能相当的色谱柱);以四氢呋喃为流动相;示差折光检测器。
精密量取供试品溶液与对照品溶液各20μl,分别注入液相色谱仪,记录色谱图。按外标法以峰面积计算,含游离甘油不得过0.5%。
碱性杂质 取本品2.0g,加乙醇15ml,乙醚30ml温热使溶解,加溴酚蓝指示液0.05ml,用盐酸滴定液(0.01mol/L)滴定至上层液显黄色,消耗盐酸滴定液(0.01mol/L)的体积不得过0.4ml。
水分 取本品,照水分测定法(通则0832第一法2)测定,含水分不得过0.2%。
炽灼残渣 取本品1.0g,依法检查(通则0841),遗留残渣不得过0.1%。
脂肪酸组成 取本品约0.1g,置50ml回流瓶中,加0.5mol/L氢氧化钠甲醇溶液2ml,在水浴中加热回流30分钟,放冷,加14%三氟化硼甲醇溶液2ml,在水浴中继续加热回流30分钟,放冷,加正庚烷4ml,继续加热回流5分钟后,放冷,加饱和氯化钠溶液10ml,摇匀,静置使分层,取上层液,用水洗涤3次,每次2ml,上层液经无水硫酸钠干燥,作为供试品溶液。
分别取己酸甲酯、辛酸甲酯、癸酸甲酯与月桂酸甲酯对照品适量,加正庚烷溶解并稀释制成每1ml中约含己酸甲酯0.1mg、辛酸甲酯9.0mg、癸酸甲酯0.5mg、月桂酸甲酯0.1mg的溶液,作为对照品溶液。
照气相色谱法(通则0521)测定,以键合聚乙二醇(或极性相近)为固定液的毛细管柱为色谱柱,起始温度为50℃,以每分钟20℃的速率升温至180℃,再以每分钟9℃的速率升温至240℃,维持12分钟;进样口温度为250℃,检测器温度为250℃。取对照品溶液2μl注入气相色谱仪,记录色谱图,辛酸甲酯峰与癸酸甲酯峰的分离度应不小于4.0。取供试品溶液2μl注入气相色谱仪,记录色谱图,按面积归一化法计算,含辛酸不得少于90.0%,己酸不得过1.0%,癸酸不得过5.0%,月桂酸不得过1.0%。
细菌内毒素(供注射用) 取本品,依法检查(通则1143),每1ml三辛酸甘油酯中含内毒素的量应小于标示量。
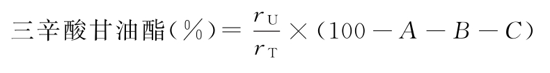
【含量测定】照气相色谱法(通则0521)测定。
色谱条件与系统适用性试验 用5%苯基-95%甲基聚硅氧烷(或极性相近)为固定液的毛细管柱为色谱柱(0.32mm×15m, 0.1μm或效能相当的色谱柱),起始温度为60℃,维持3分钟,以每分钟8℃的速率升温至340℃,维持12分钟;进样口温度为350℃,检测器温度为370℃。取单辛酸甘油酯与单癸酸甘油酯对照品各适量,加四氢呋喃溶解并稀释制成每1ml中各约含20mg的混合溶液,作为系统适用性溶液,精密量取1μl注入气相色谱仪,记录色谱图,单辛酸甘油酯峰与单癸酸甘油酯峰的分离度应不小于5.0。
测定法 取本品适量,精密称定,加四氢呋喃溶解并定量稀释制成每1ml中约含50mg的溶液,作为供试品溶液,精密量取1μl注入气相色谱仪,记录色谱图;另取三辛酸甘油酯对照品,同法测定,按下式计算三辛酸甘油酯的含量,供试品溶液色谱图中小于单辛酸甘油酯峰保留时间的溶剂峰和游离脂肪酸峰忽略不计。


式中 144.21为辛酸分子量;
56.11为氢氧化钾分子量;
A为游离甘油项下测定结果,%;
B为水分项下测定结果,%;
C为游离脂肪酸计算结果,%;
rU为三辛酸甘油酯的峰面积;
rT为除溶剂峰和游离脂肪酸峰外所有色谱峰的峰面积。
【类别】润滑剂、乳化剂和载体等。
【贮藏】遮光,密封,室温保存。
【标示】①应标明本品每1ml中含内毒素的量应小于的标示量。②如有特殊贮藏条件,应标明。
(c)蒲标网 - 中国药典、药品标准、法规在线查询 ( 津ICP备15007510号 )