
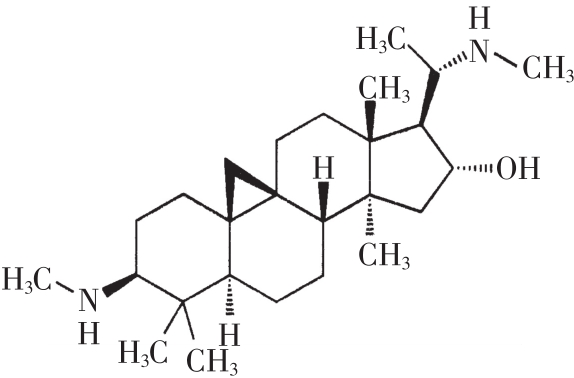
环维黄杨星 D
Huɑnweihuɑngyɑngxing D
CYCLOVIROBUXINE

C26H46N2O 402.66
本品为黄杨科植物小叶黄杨Buxus microphylla Sieb. et Zucc. var. sinica Rehd. et Wils.及其同属植物中提取精制所得。
【性状】 本品为无色针状结晶;气微,味苦。
本品在三氯甲烷中易溶,在甲醇或乙醇中溶解,在丙酮中略溶,在水中微溶。
熔点 应为219~222℃,熔融时同时分解(通则0612)。
【鉴别】 (1)取本品约5mg,加冰醋酸溶液(1→20)1ml使溶解,加碘化铋钾试液1~2滴,即生成橙红色沉淀。
(2)取本品约5mg,加乙醇1ml与硫酸2ml,即显橙红色。
【检查】其他生物碱 取本品,加三氯甲烷制成每1ml含1mg的溶液,作为供试品溶液。照薄层色谱法(通则0502)试验,吸取上述溶液10μl,点于硅胶G薄层板上,以三氯甲烷-丙酮-二乙胺(5∶4∶0.4)为展开剂,展开,取出,晾干,喷以稀碘化铋钾试液。供试品色谱中,除主斑点外,不得有其他斑点。
干燥失重 取本品,在105℃干燥至恒重,减失重量不得过0.5%(通则0831)。
【含量测定】 取本品约0.15g,精密称定,加冰醋酸30ml溶解后,加醋酐1ml与结晶紫指示液1~2滴,用高氯酸滴定液(0.1mol/L)滴定至溶液显纯蓝色,并将滴定的结果用空白试验校正。每1ml高氯酸滴定液(0.1mol/L)相当于20.12mg的环维黄杨星D(C26H46N2O)。
本品按干燥品计算,含环维黄杨星D(C26H46N2O)不得少于99.0%。
【贮藏】 遮光,密闭。
【制剂】 黄杨宁片
(c)蒲标网 - 中国药典、药品标准、法规在线查询 ( 津ICP备15007510号 )