
0832 水分测定法
第一法(费休氏法)
1.容量滴定法
本法是根据碘和二氧化硫在吡啶和甲醇溶液中与水定量反应的原理来测定水分。所用仪器应干燥,并能避免空气中水分的侵入;测定应在干燥处进行。
费休氏试液的制备与标定
(1)制备 称取碘(置硫酸干燥器内48小时以上)110g,置干燥的具塞锥形瓶(或烧瓶)中,加无水吡啶160ml,注意冷却,振摇至碘全部溶解,加无水甲醇300ml,称定重量,将锥形瓶(或烧瓶)置冰浴中冷却,在避免空气中水分侵入的条件下,通入干燥的二氧化硫至重量增加72g,再加无水甲醇使成1000ml,密塞,摇匀,在暗处放置24小时。
也可以使用稳定的市售费休氏试液。市售的费休氏试液可以是不含吡啶的其他碱化试剂,或不含甲醇的其他伯醇类等制成;也可以是单一的溶液或由两种溶液临用前混合而成。
本试液应遮光,密封,阴凉干燥处保存。临用前应标定滴定度。
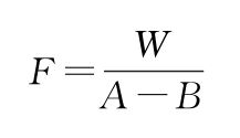
(2)标定 精密称取纯化水10~30mg,用水分测定仪直接标定;或精密称取纯化水10~30mg,置干燥的具塞锥形瓶中,除另有规定外,加无水甲醇适量,在避免空气中水分侵入的条件下,用费休氏试液滴定至溶液由浅黄色变为红棕色,或用永停滴定法指示终点;另做空白试验,按下式计算:

式中 F为每1ml费休氏试液相当于水的重量,mg;
W为称取纯化水的重量,mg;
A为滴定所消耗费休氏试液的容积,ml;
B为空白所消耗费休氏试液的容积,ml。
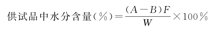
测定法 精密称取供试品适量(约消耗费休氏试液1~5ml),除另有规定外,溶剂为无水甲醇,用水分测定仪直接测定。或精密称取供试品适量,置干燥的具塞锥形瓶中,加溶剂适量,在不断振摇(或搅拌)下用费休氏试液滴定至溶液由浅黄色变为红棕色,或用永停滴定法指示终点;另做空白试验,按下式计算:

式中 A为供试品所消耗费休氏试液的体积,ml;
B为空白所消耗费休氏试液的体积,ml;
F为每1ml费休氏试液相当于水的重量,mg;
W为供试品的重量,mg。
如供试品吸湿性较强,可称取供试品适量置干燥的容器中,密封(可在干燥的隔离箱中操作),精密称定,用干燥的注射器注入适量无水甲醇或其他适宜溶剂,精密称定总重量,振摇使供试品溶解,测定该溶液水分。洗净并烘干容器,精密称定其重量。同时测定溶剂的水分。按下式计算:

式中 W1为供试品、溶剂和容器的重量,g;
W2为供试品和容器的重量,g;
W3为容器的重量,g;
c1为供试品溶液的水分含量,g/g;
c2为溶剂的水分含量,g/g。
对热稳定的供试品,亦可将水分测定仪和市售卡氏干燥炉联用测定水分。即将一定量的供试品在干燥炉或样品瓶中加热,并用干燥气体将蒸发出的水分导入水分测定仪中测定。
2.库仑滴定法
本法仍以卡尔-费休氏(Karl-Fischer)反应为基础,应用永停滴定法测定水分。与容量滴定法相比,库仑滴定法中滴定剂碘不是从滴定管加入,而是由含有碘离子的阳极电解液电解产生。一旦所有的水被滴定完全,阳极电解液中就会出现少量过量的碘,使铂电极极化而停止碘的产生。根据法拉第定律,产生碘的量与通过的电量成正比,因此可以通过测量电量总消耗的方法来测定水分总量。本法主要用于测定含微量水分(0.0001%~0.1%)的供试品,特别适用于测定化学惰性物质如烃类、醇类和酯类中的水分。所用仪器应干燥,并能避免空气中水分的侵入;测定操作应在干燥处进行。
在适当的情况下,供试品中的水可以通过与容器连接的烘箱中的热量解吸或释放出来,并借助干燥的惰性气体(例如纯氮气)转移到容器中。因气体转移造成的误差应考虑并进行校正,加热条件也应慎重选择,防止因供试品分解而产生水。
费休氏试液 按卡尔-费休氏库仑滴定仪的要求配制或使用市售费休氏试液,无需标定滴定度。
测定法 于滴定杯中加入适量费休氏试液,先将试液和系统中的水分预滴定除去,然后精密称取供试品适量(含水量约为0.5~5mg或仪器建议的使用量),迅速转移至滴定杯中,或经适宜的无水溶剂溶解后,迅速注入至滴定杯中,以永停滴定法指示终点,从仪器显示屏上直接读取供试品中水分的含量,其中每1mg水相当于10.72库仑电量。
第二法(烘干法)
测定法 取供试品2~5g,如果供试品的直径或长度超过3mm,在称取前应快速制成直径或长度不超过3mm的颗粒或碎片平铺于干燥至恒重的扁形称量瓶中,厚度不超过5mm,疏松供试品不超过10mm,精密称定,开启瓶盖在100~105℃干燥5小时,将瓶盖盖好,移置干燥器中,冷却30分钟,精密称定,再在上述温度干燥1小时,放冷,称重,至连续两次称重的差异不超过5mg为止。根据减失的重量,计算供试品中含水量(%)。
本法适用于不含或少含挥发性成分的药品。
第三法(减压干燥法)
减压干燥器 取直径12cm左右的培养皿,加入五氧化二磷干燥剂适量,铺成0.5~1cm的厚度,放入直径30cm的减压干燥器中。
测定法 取供试品2~4g,混合均匀,分别取0.5~1g,置已在供试品同样条件下干燥并称重的称量瓶中,精密称定,打开瓶盖,放入上述减压干燥器中,抽气减压至2.67kPa(20mmHg)以下,并持续抽气半小时,室温放置24小时。在减压干燥器出口连接无水氯化钙干燥管,打开活塞,待内外压一致,关闭活塞,打开干燥器,盖上瓶盖,取出称量瓶迅速精密称定重量,计算供试品中的含水量(%)。
本法适用于含有挥发性成分的贵重药品。中药测定用的供试品,一般先破碎并需通过二号筛。
第四法(甲苯法)
仪器装置 如图1所示。图中A为500ml的短颈圆底烧瓶;B为水分测定管;C为直形冷凝管,外管长40cm。使用前,全部仪器应清洁,并置烘箱中烘干。
测定法 取供试品适量(约相当于含水量1~4ml),精密称定,置A瓶中,加甲苯约200ml,必要时加入干燥、洁净的无釉小瓷片数片或玻璃珠数粒,连接仪器,自冷凝管顶端加入甲苯至充满B管的狭细部分。将A瓶置电热套中或用其他适宜方法缓缓加热,待甲苯开始沸腾时,调节温度,使每秒馏出2滴。待水分完全馏出,即测定管刻度部分的水量不再增加时,将冷凝管内部先用甲苯冲洗,再用饱蘸甲苯的长刷或其他适宜方法,将管壁上附着的甲苯推下,继续蒸馏5分钟,放冷至室温,拆卸装置,如有水黏附在B管的管壁上,可用蘸甲苯的铜丝推下,放置使水分与甲苯完全分离(可加亚甲蓝粉末少量,使水染成蓝色,以便分离观察)。检读水量,并计算供试品的含水量(%)。

图1 甲苯法仪器装置
【附注】(1)测定用的甲苯须先加水少量,充分振摇后放置,将水层分离弃去,经蒸馏后使用。
(2)中药测定用的供试品,一般先破碎成直径不超过3mm的颗粒或碎片;直径和长度在3mm以下的可不破碎。
第五法(气相色谱法)
色谱条件与系统适用性试验 用直径为0.18~0.25mm的二乙烯苯-乙基乙烯苯型高分子多孔小球作为载体,或采用极性与之相适应的毛细管柱,柱温为140~150℃,热导检测器检测。注入无水乙醇,照气相色谱法(通则0521)测定,应符合下列要求:
(1)理论板数按水峰计算应大于1000,理论板数按乙醇峰计算应大于150;
(2)水和乙醇两峰的分离度应大于2;
(3)用无水乙醇进样5次,水峰面积的相对标准偏差不得大于3.0%。
对照溶液的制备 取纯化水约0.2g,精密称定,置25ml量瓶中,加无水乙醇至刻度,摇匀,即得。
供试品溶液的制备 取供试品适量(含水量约0.2g),剪碎或研细,精密称定,置具塞锥形瓶中,精密加入无水乙醇50ml,密塞,混匀,超声处理20分钟,放置12小时,再超声处理20分钟,密塞放置,待澄清后倾取上清液,即得。
测定法 取无水乙醇、对照溶液及供试品溶液各1~5μl,分别注入气相色谱仪,测定,即得。
对照溶液与供试品溶液的配制须用新开启的同一瓶无水乙醇。
用外标法计算供试品中的含水量。计算时应扣除无水乙醇中的含水量,方法如下:
对照溶液中实际加入的水的峰面积=对照溶液中总水峰面积-K×对照溶液中乙醇峰面积
供试品中水的峰面积=供试品溶液中总水峰面积-K×供试品溶液中乙醇峰面积

(c)蒲标网 - 中国药典、药品标准、法规在线查询 ( 津ICP备15007510号 )