
2303 酸败度测定法
酸败是指油脂或含油脂的种子类药材和饮片,在贮藏过程中发生复杂的化学变化,生成游离脂肪酸、过氧化物和低分子醛类、酮类等产物,出现特异臭味,影响药材和饮片的感观和质量。
本方法通过测定酸值、羰基值和过氧化值,以检查药材和饮片中油脂的酸败度。
一、油脂提取
除另有规定外,取供试品30~50g(根据供试品含油脂量而定),研碎成粗粉,置索氏提取器中,加正己烷100~150ml(根据供试品取样量而定),置水浴上加热回流2小时,放冷,用3号垂熔玻璃漏斗滤过,滤液置水浴上减压回收溶剂至尽,所得残留物即为油脂。
二、酸败度测定
酸值测定 取油脂,照脂肪与脂肪油测定法(通则0713)测定。
羰基值测定 羰基值系指每1kg油脂中含羰基化合物的毫摩尔数。
除另有规定外,取油脂0.025~0.5g,精密称定,置25ml量瓶中,加甲苯适量溶解并稀释至刻度,摇匀。精密量取5ml,置25ml具塞刻度试管中,加4.3%三氯醋酸的甲苯溶液3ml及0.05%2,4-二硝基苯肼的甲苯溶液5ml,混匀,置60℃水浴加热30分钟,取出冷却,沿管壁缓缓加入4%氢氧化钾的乙醇溶液10ml,加乙醇至25ml,密塞,剧烈振摇1分钟,放置10分钟,以相应试剂作空白,照紫外-可见分光光度法(通则0401)在453nm波长处测定吸光度,按下式计算:

式中 A为吸光度;
W为油脂的重量,g;
854为各种羰基化合物的2,4-二硝基苯肼衍生物的摩尔吸收系数平均值。
过氧化值测定 过氧化值系指油脂中过氧化物与碘化钾作用,生成游离碘的百分数。
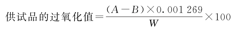
除另有规定外,取油脂2~3g,精密称定,置250ml的干燥碘瓶中,加三氯甲烷-冰醋酸(1∶1)混合溶液30ml,使溶解。精密加新制碘化钾饱和溶液1ml,密塞,轻轻振摇半分钟,在暗处放置3分钟,加水100ml,用硫代硫酸钠滴定液(0.01mol/L)滴定至溶液呈浅黄色时,加淀粉指示液1ml,继续滴定至蓝色消失;同时做空白试验,照下式计算:

式中 A为油脂消耗硫代硫酸钠滴定液的体积,ml;
B为空白试验消耗硫代硫酸钠滴定液的体积,ml;
W为油脂的重量,g;
0.001 269为硫代硫酸钠滴定液(0.01mol/L)1ml相当于碘的重量,g。
(c)蒲标网 - 中国药典、药品标准、法规在线查询 ( 津ICP备15007510号 )