
0701 电位滴定法与永停滴定法
电位滴定法与永停滴定法是容量分析中用以确定终点或选择核对指示剂变色域的方法。选用适当的电极系统可以作为氧化还原法、中和法(水溶液或非水溶液)、沉淀法、重氮化法和水分测定法第一法等的终点指示。
电位滴定法选用两支不同的电极。一支为指示电极,其电极电位随溶液中被分析成分的离子浓度的变化而变化;另一支为参比电极,其电极电位固定不变。在到达滴定终点时,因被分析成分的离子浓度急剧变化而引起指示电极的电位突减或突增,此转折点称为突跃点。
永停滴定法采用两支相同的铂电极,当在电极间加一低电压(例如50mV)时,若电极在溶液中极化,则在未到滴定终点时,仅有很小或无电流通过;但当到达终点时,滴定液略有过剩,使电极去极化,溶液中即有电流通过,电流计指针突然偏转,不再回复。反之,若电极由去极化变为极化,则电流计指针从有偏转回到零点,也不再变动。
仪器装置
电位滴定可用电位滴定仪、酸度计或电位差计,永停滴定可用永停滴定仪或按图1装置。

图1 永停滴定装置
电流计的灵敏度除另有规定外,测定水分时用10-6A/格,重氮化法用10-9A/格。所用电极可按下表选择。

滴定法
(1)电位滴定法 将盛有供试品溶液的烧杯置电磁搅拌器上,浸入电极,搅拌,并自滴定管中分次滴加滴定液;开始时可每次加入较多的量,搅拌,记录电位;至将近终点前,则应每次加入少量,搅拌,记录电位;至突跃点已过,仍应继续滴加几次滴定液,并记录电位。
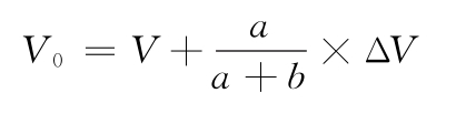
滴定终点的确定 终点的确定分为作图法和计算法两种。作图法是以指示电极的电位(E)为纵坐标,以滴定液体积(V)为横坐标,绘制滴定曲线,以滴定曲线的陡然上升或下降部分的中点或曲线的拐点为滴定终点。计算法是根据实验得到的E值与相应的V值,依次计算一级微熵ΔE/ΔV(相邻两次的电位差与相应滴定液体积差之比)和二级微熵Δ2E/ΔV2(相邻ΔE/ΔV值间的差与相应滴定液体积差之比)值,将测定值(E,V)和计算值列表。再将计算值ΔE/ΔV或Δ2E/ΔV2作为纵坐标,以相应的滴定液体积(V)为横坐标作图,一级微熵ΔE/ΔV的极值和二级微熵Δ2E/ΔV2等于零(曲线过零)时对应的体积即为滴定终点。前者称为一阶导数法,终点时的滴定液体积也可由计算求得,即ΔE/ΔV达极值时前、后两个滴定液体积读数的平均值;后者称为二阶导数法,终点时的滴定液体积也可采用曲线过零前、后两点坐标的线性内插法计算,即:

式中 V0为终点时的滴定液体积;
a为曲线过零前的二级微熵绝对值;
b为曲线过零后的二级微熵绝对值;
V为a点对应的滴定液体积;
ΔV为由a点至b点所滴加的滴定液体积。
由于二阶导数计算法更准确,所以最为常用。
采用自动电位滴定仪可方便地获得滴定数据或滴定曲线。
选择或核对指示剂色调时,可在滴定前加入指示剂,观察终点前至终点后的颜色变化,以确定该品种在滴定终点时的指示剂颜色。
(2)永停滴定法 用作重氮化法的终点指示时,调节R1使加于电极上的电压约为50mV。取供试品适量,精密称定,置烧杯中,除另有规定外,可加水40ml与盐酸溶液(1→2)15ml,而后置电磁搅拌器上,搅拌使溶解,再加溴化钾2g,插入铂-铂电极后,将滴定管的尖端插入液面下约2/3处,用亚硝酸钠滴定液(0.1mol/L或0.05mol/L)迅速滴定,随滴随搅拌,至近终点时,将滴定管的尖端提出液面,用少量水淋洗尖端,洗液并入溶液中,继续缓缓滴定,至电流计指针突然偏转,并不再回复,即为滴定终点。
用作水分测定法第一法的终点指示时,可调节R1使电流计的初始电流为5~10μA,待滴定到电流突增至50~150μA,并持续数分钟不退回,即为滴定终点。
(c)蒲标网 - 中国药典、药品标准、法规在线查询 ( 津ICP备15007510号 )