
0633 黏度测定法
黏度系指流体对流动产生阻抗能力的性质。本法用动力黏度、运动黏度或特性黏数表示。
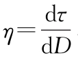
动力黏度也称为黏度系数(η)。假设流体分成不同的平行层面,在层面切线方向单位面积上施加的作用力,即为剪切应力(τ),单位是Pa。在剪切应力的作用下,流体各个平行层面发生梯度速度流动。垂直方向上单位长度内各流体层面流动速度上的差异,称之为剪切速率(D),单位是s-1。动力黏度即为二者的比值,表达式为
,单位是Pa·s。因Pa·s单位太大,常使用mPa·s。
流体的剪切速率和剪切应力的关系反映了其流变学性质,根据二者的变化关系可将流体分为牛顿流体(或理想流体)和非牛顿流体。在没有屈服力的情况下,牛顿流体的剪切应力和剪切速率是线性变化的,纯液体和低分子物质的溶液均属于此类。非牛顿流体的剪切应力和剪切速率是非线性变化的,高聚物的浓溶液、混悬液、乳剂和表面活性剂溶液均属于此类。在测定温度恒定时,牛顿流体的动力黏度为一恒定值,不随剪切速率的变化而变化。而非牛顿流体的动力黏度值随剪切速率的变化而变化,此时,在某一剪切速率条件下测得的动力黏度值又称为表观黏度。
运动黏度为牛顿流体的动力黏度与其在相同温度下密度的比值,单位是m2/s。因m2/s单位太大,常使用mm2/s。
溶剂的黏度η0常因高聚物的溶入而增大,溶液的黏度η与溶剂的黏度η0的比值(η/η0)称为相对黏度(ηr),通常用乌氏黏度计中的流出时间的比值(T/T0)表示;当高聚物溶液的浓度较稀时,其相对黏度的对数比值与高聚物溶液浓度的比值,即为该高聚物的特性黏数[η]。根据高聚物的特性黏数可以计算其平均分子量。
黏度的测定用黏度计。黏度计有多种类型,本法采用平氏毛细管黏度计、乌氏毛细管黏度计和旋转黏度计三种测定方法。毛细管黏度计适用于牛顿流体运动黏度的测定;旋转黏度计适用于牛顿流体或非牛顿流体动力黏度的测定。
第一法 平氏毛细管黏度计测定法
本法是采用相对法测量一定体积的液体在重力的作用下流经毛细管所需时间,以求得流体的运动黏度或动力黏度。
仪器用具
恒温水浴 可选用直径30cm以上、高40cm以上的玻璃水浴槽或有机玻璃水浴槽,附有电动搅拌器与热传导装置。恒温精度应为±0.1℃。除另有规定外,测定温度应为20℃±0.1℃。
温度计 最小分度为不大于0.1℃,应定期检定,并符合相关规定。
秒表 最小分度为不大于0.2秒,应定期检定,并符合相关规定。
平氏毛细管黏度计(图1) 可根据待测样品黏度范围(表1)选择适当内径规格的毛细管黏度计,应定期检定或校准,符合相关规定,且可获得毛细管黏度常数K值。

图1 平氏毛细管黏度计
1.主管 2.宽管 3.弯管 A.测定球 B.储器 C.缓冲球
E.毛细管 F.支管m1,m2.环形测定线
表1 平氏毛细管黏度计测量范围和规格

注:0号平氏毛细管黏度计的最小流出时间为350秒,其他均为200秒。
测定法 取供试品,照各品种项下的规定,取适当的平氏毛细管黏度计1支,在支管F上连接一橡皮管,用手指堵住管口2,倒置黏度计,将管口1插入供试品(或供试品溶液,下同)中,自橡皮管的另一端抽气,使供试品充满球C与A并达到测定线m2处,提出黏度计并迅速倒转,抹去黏附于管外的供试品,取下橡皮管使连接于管口1上,将黏度计垂直固定于恒温水浴槽中,并使水浴的液面高于球C的中部,放置15分钟后,自橡皮管的另一端抽气,使供试品充满球A并超过测定线m1,开放橡皮管口,使供试品在管内自然下落,用秒表准确记录液面自测定线m1下降至测定线m2处的流出时间。不重装试样,依法重复测定3次,每次测定值与平均值的差值不得超过平均值的±0.25%。另取一份供试品同法操作。以先后两次取样测得的总平均值按下式计算,即为供试品的运动黏度和动力黏度。
ν=Kt
η=Kt·ρ
式中 K为已知黏度的标准液测得的黏度计常数,mm2/s2;
t为测得的平均流出时间,s;
ρ为供试品在相同温度下的密度,g/cm3。除另有规定外,测定温度应为20℃±0.1℃,此时,
,
为供试品在20℃时的相对密度。
第二法 乌氏毛细管黏度计测定法
乌氏毛细管黏度计常用来测定高分子聚合物极稀溶液的特性黏数,以用来计算平均分子量。
仪器用具
恒温水浴 可选用直径30cm以上、高40cm以上的玻璃水浴槽或有机玻璃水浴槽,附有电动搅拌器与热传导装置。恒温精度应在±0.1℃内。除另有规定外,测定温度应为25℃±0.1℃。
温度计 最小分度为不大于0.1℃,应定期检定,并符合相关规定。
秒表 最小分度为不大于0.2秒,应定期检定,并符合相关规定。
乌氏毛细管黏度计(图2) 可根据待测样品黏度范围(表2)选择适当内径规格的毛细管黏度计。应定期检定或标准,符合相关规定,且可获得毛细管黏度常数K值。

图2 乌氏毛细管黏度计
1.主管 2.宽管 3.侧管 4.弯管 A.测定球 B.储器
C.缓冲球 D.悬挂水平储器 E.毛细管 m1,m2.环形测定线
表2 乌氏毛细管黏度计测量范围和规格

注:最小流出时间为200秒。
测定法 取供试品,照各品种项下的规定制成一定浓度的溶液,用3号垂熔玻璃漏斗滤过,弃去初滤液(1ml),取续滤液(不得少于7ml)沿洁净、干燥的乌氏毛细管黏度计的管2内壁注入B中,将黏度计垂直固定于恒温水浴槽中,并使水浴的液面高于球C的中部,放置15分钟后,将管口1、3各接一乳胶管,夹住管口3的胶管,自管口1处抽气,使供试品溶液的液面缓缓升高至球C的中部,先开放管口3,再开放管口1,使供试品溶液在管内自然下落,用秒表准确记录液面自测定线m1下降至测定线m2处的流出时间。不重装试样,重复测定2次,两次测量的流动时间之差不得超过平均值的±0.5%。取两次的平均值为供试液的流出时间(T)。取经3号垂熔玻璃漏斗滤过的溶剂同法操作,重复测定2次,取平均值为溶剂的流出时间(T0)。按下式计算特性黏数:

式中 ηr为T/T0;
c为供试品溶液的浓度,g/ml。
第三法 旋转黏度计测定法
旋转黏度计测定法是通过测定转子在流体内以一定角速度(ω)相对运动时其表面受到的扭矩(M)的方式来计算牛顿流体(剪切非依赖型)或非牛顿流体(剪切依赖型)动力黏度的。当被测样品为非牛顿流体时,在某一特定转速(n)、角速度(ω)或剪切速率(D)条件下测得的动力黏度又被称为表观黏度。
旋转黏度计按照测量系统的类型可分为同轴圆筒旋转黏度计、锥板型旋转黏度计和转子型旋转黏度计三类。按测定结果的性质可分为绝对黏度计和相对黏度计两类,其中绝对黏度计的测量系统具有确定的几何形状,其测定结果是绝对黏度值,可以用其他绝对黏度计重现,同轴圆筒旋转黏度计和锥板型旋转黏度计均属于此类;相对黏度计的测量系统不具有确定的几何形状,其测量结果是通过和标准黏度液比较得到的相对黏度值,不能用其他绝对黏度计或相对黏度计重现,除非是采用相同的仪器和转子在相同的测定条件下获得的测定结果,转子型旋转黏度计属于此类。
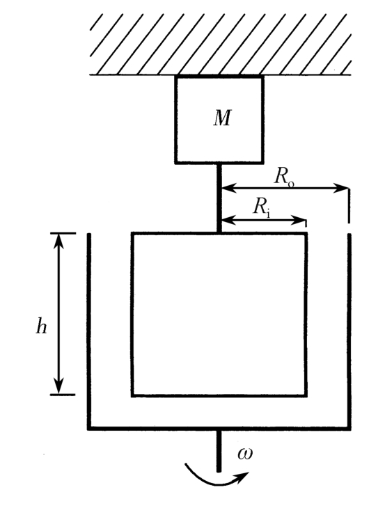
(1)同轴圆筒旋转黏度计(绝对黏度计)
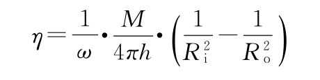
同轴圆筒旋转黏度计包括内筒转动型黏度计(如Searle型黏度计)和外筒转动型黏度计(如Couette型黏度计)等类型(图3、图4)。二者测定方法和计算公式相同,但内筒转动型黏度计更为常用。取供试品或照各品种项下规定的方法制成的一定浓度的供试品溶液,注入同轴圆筒旋转黏度计外筒中。将内筒浸入外筒内的样品内,至规定的高度。通过马达带动内筒或外筒旋转,测定转动角速度(ω)和转筒表面受到的扭矩(M),根据以下公式代入测量系统的参数,计算样品的动力黏度:

式中 η为动力黏度,Pa·s;
M为转筒表面的扭矩,N·m;
h为内筒浸入样品的深度,m;
ω为内筒自转角速度,rad/s;
Ri和Ro分别为内筒和外筒半径,m。
将式中关于测量系统的常数合并,公式可以简化为:
,其中
。

图3 Searle型黏度计

图4 Couette型黏度计
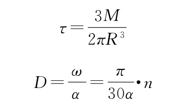
如需采用转筒式流变仪测定供试品或供试品溶液的动力黏度,而具体品种下的黏度测定标准仅提供测量系统的尺寸和转子角速度或转速,可采用以下公式计算所需要的剪切应力或剪切速率的值:

式中 τ为剪切应力,Pa;
D为剪切速率,s-1;
ω为内筒自转角速度,rad/s;
n为内筒转速,r/min;
其他参数的意义和单位同前。
(2)锥板型旋转黏度计(绝对黏度计)
锥板型旋转黏度计的测量系统由圆锥和平板组成(图5、图6),圆锥与平板之间形成的角度称为锥角(α)。黏性液体样品或半固体样品被加载并充满于圆锥和平板之间的空隙中。马达带动圆锥或平板以恒定的角速度(ω)转动,对黏性流体产生垂直于法向的剪切作用,同时测定马达转动产生的扭矩(M),根据以下公式代入测量系统的参数,计算样品的动力黏度。

图5 锥板型旋转黏度计(锥转子转动)

图6 锥板型旋转黏度计(平板转动)

式中 η为动力黏度,Pa·s;
α为锥角,rad;
M为扭矩,N·m;
R为圆锥的半径,m;
ω为圆锥或平板的转动角速度,rad/s。
将式中关于测量系统的常数合并,公式可以简化为:
,其中
。
如需采用锥板式流变仪测定供试品或供试品溶液的动力黏度,而具体品种下的黏度测定标准仅提供测量系统的尺寸和转子角速度或转速,可采用以下公式计算所需要的剪切应力或剪切速率的值。

式中 τ为剪切应力,Pa;
D为剪切速率,s-1;
ω为内筒自转角速度,rad/s;
n为内筒转速,r/min;
其他参数的意义和单位同前。
(3)转子型旋转黏度计(相对黏度计)
转子型黏度计通过将某些类型的转子(图7,转子的类型繁多,在此仅举例说明)浸入待测样品中,并以恒定的角速度(ω)转动,测定马达转动产生的扭矩(M),根据下列公式计算出待测样品的黏度,
。通常情况下,转子型黏度计常数K是通过采用标准黏度液校准得到的,故其测定结果为相对黏度。

图7 转子型旋转黏度计配备的转子
(c)蒲标网 - 中国药典、药品标准、法规在线查询 ( 津ICP备15007510号 )